Contoh Soal Dan Jawaban Fungsi Limit

Contoh Soal Dan Jawaban Fungsi Limit

Contoh soal limit matematika sebelum masuk kesoal lebih baik dibaca dulu rumus limit fungsi soal no. Kami yakin soal limit sudah hampir bisa dipastikan akan muncul.

Turunan Pembahasan Dan Contoh Soal Matematika

Contoh soal dan pembahasan tentang fungsi komposisi dan invers.

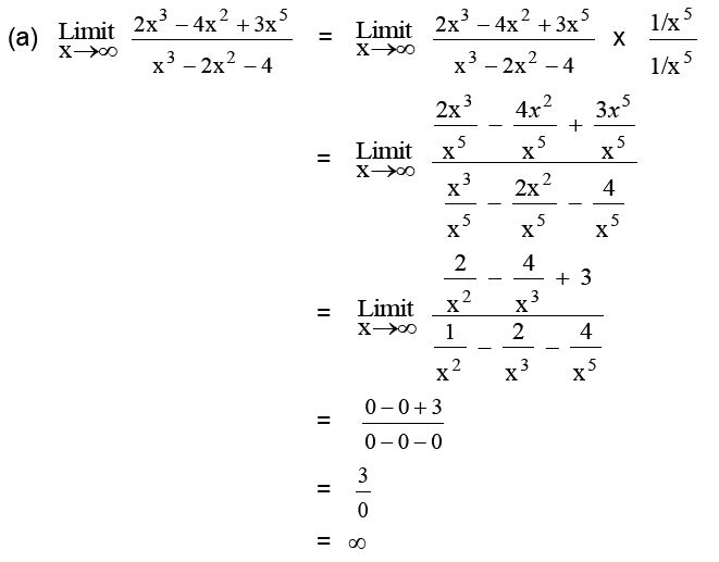
Contoh soal dan jawaban fungsi limit. Pembahasan soal un limit fungsi aljabar. Halaman ini memuat kumpulan soal limit fungsi trigonometri yang telah dilengkapi dengan pembahasan. 1 tentukan nilai dari.

Contoh soal dan pembahasan tentang limit trigonometri. Bagaimana tips dan trik mengerjakan soal psikotes dengan mudah seperti contoh soal psikotes gambar dan soal psikotes pauli. Contoh soal dan pembahasan tentang limit.

Kumpulan soal dan pembahasan un sma matematika ipa untuk materi. Pembahasan soal soal ujian nasional un sma. Langkah langkah dalam mengerjakan soal limit fungsi trigonometri diberikan secara runut untuk mempermudah pemahaman dalam mengerjakan soal limit fungsi trigonometri.

Berikut ini admin sajikan soal dan pembahasan tentang limit fungsi aljabar dan trigonometri tetapi tipe soalnya hots dan olimpiade sehingga akan jauh lebih menantang. Dalam matematika limit adalah nilai yang didekati sebuah barisan atau fungsi ketika nilai input dari barisan atau fungsinya mendekati sebuah nilai tertentu. By zero maker thursday february 16 2017.

Soal pembahasan matematika sd. Hitung limit fungsi vektor penyelesaian. Limit matematika tak terasa ujian nasional kurang dari sebulan lagi.

Buat sobat hitung jangan lupa ikhtiar doa dan restu orang tua biar sukses ujian nasionalnya. Home limit ujian nasional pembahasan soal un limit fungsi aljabar. Tutorial mata pelajaran kita kali ini adalah matematika.

Materi tentang pengertian definisi dan rumus limit matematika baik itu rumus limit tak hingga maupun limit fungsi serta contoh soal dan pembahasan. Contoh soal dan jawaban limit fungsi 1. Contoh soal tersebut berdasarkan trend contoh soal psikotes yang beredar di indonesia.

Dengan metode yang sama seperti limit fungsi pada umumnya kita langsung mensubstitusikan ke fungsi vektornya. Contoh soal dan pembahasan tentang trigonometri. Un 2006 nilai mathrmx to 6limfracsqrt.

Dalam edisi matematika kesempatan ini akan dibahas tentang berbagai jenis soal yang berhubungan dengan limit fungsi aljabar. Juga memuat cuplikan rumus identitas trigonometri. Jadi jadi fungsi vektor tersebut akan mendekati saat mendekati 2.

Semoga bermanfaat dan tetap semangat belajar.

Limit Tak Hingga Fungsi Aljabar Materi Lengkap Matematika

Kumpulan Soal Limit Fungsi Trigonometri Idschool

Contoh Soal Limit Beserta Pembahasan Dan Jawabannya

Limit Fungsi Kompleks Devi Dwi Winasis Khoirunnisa Mega

Bahasa

Cara Menyelesaikan Soal Limit Fungsi Aljabar Lengkap Dengan

Contoh Soal Limit Fungsi Pemfaktoran Terupdate

Kumpulan Soal Limit Fungsi Trigonometri Idschool

Kumpulan Soal Limit Fungsi Trigonometri Idschool

Share:

Posting Lainnya:

Disqus Comments